Question 1
What does an electric circuit mean ?
Answer:
A continuous and closed path along which an electric current flows is called an electric circuit.
Question 2
Define the unit of current.
Answer:
Unit of current is ampere. If one coulomb of charge flows through any section of a conductor in one second then the current through it is said to be one ampere.
I = Qt or 1 A = I C s-1
Question 3
Calculate the number of electrons constituting one coulomb of charge.
Answer:
Charge on one electron, e = 1.6 x 10-19 C
Total charge, Q = 1 C
Number of electrons, n = Qe = 1C1.6×10−19 = 6.25 x 1018
Question 1
Name a device that helps to maintain a potential difference across a conductor.
Answer:
A battery.
Question 2
What is meant by saying that the potential difference between two points is IV?
Answer:
The potential difference between two points is said to be 1 volt if 1 joule of work is done in moving 1 coulomb of electric charge from one point to the other.
Question 3
How much energy is given to each coulomb of charge passing through a 6 V battery ?
Answer:
Energy given by battery = charge x potential difference
or W = QV = 1C X 6V = 6J.
Question 1
On what factors does the resistance of a conductor depend ?
OR
List the factors on which the resistance of a conductor in the shape of a wire depends.
Answer:
The resistance of a conductor depends (i) on its length (ii) on its area of cross-section and (iii) on the nature of its material.
Question 2
Will current flow more easily through a thick wire or a thin wire of the same material, when connected to the same source ? Why ?
Answer:
The current will flow more easily through a thick wire than a thin wire of the same material. Larger the area of cross-section of a conductor, more is the ease with which the electrons can move through the conductor. Therefore, smaller is the resistance of the conductor.
Question 3
Let the resistance of an electrical component remains constant while the potential difference across the two ends of the component decreases to half of its former value. What change will occur in the current through it ?
Answer:
When potential difference is halved, the current through the component also decreases to half of its initial value. This is according to ohm’s law i.e., V ∝ I.
Question 4
Why are coils of electric toasters and electric irons are made of an-alloy rather than a pure metal ?
OR
Why are alloys commonly used in electric heating devices? Given reason.
Answer:
The coils of electric toasters, electric irons and other heating devices are made of an alloy rather than a pure metal because (i) the resistivity of an alloy is much higher than that of a pure metal, and (ii) an alloy does not undergo oxidation (or burn) easily even at high temperature, when it is red hot.
Question 5
Use the data in Table 12.2 (in NCERT Book on Page No. 207) to answer the following :
(i) Which among iron and mercury is a better conductor ?
(ii) Which material is the best conductor ?
Answer:
(i) Resistivity of iron = 10.0 x 10-8 Ω m
Resistivity of mercury = 94.0 x 10-8 Ω m.
Thus iron is a better conductor because it has lower resistivity than mercury.
(ii) Because silver has the lowest resistivity (= 1.60 x 10-8 Ω m), therefore silver is the best conductor.
Question 1
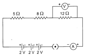
Draw a schematic diagram of a circuit consisting of a battery of three cells of 2 V each, a 5Ω resistor, an 8 Ω resistor, and a 12 Ω resistor, and a plug key, all connected in series.
Answer:
The required circuit diagram is shown below :

Question 2
Redraw the circuit of Questions 1, putting in an ammeter to measure the current through the resistors and a voltmeter to measure the potential difference across the 12 Ω resistor. What would be the readings in the ammeter and the voltmeter ?
Solution:
The required circuit diagram is shown on the right.
Total voltage, V = 3 x 2 = 6V
Total resistance, R = 5Ω + 8Ω + 12Ω = 25Ω


Question 1
Judge the equivalent resistance when the following are connected in parallel :
(i) 1 Ω and 106 Ω,
(if) 1 Ω and 103 Ω and 106 Ω.
Answer:
When the resistances are connected in parallel, the equivalent resistance is smaller than the smallest individual resistance.
(i) Equivalent resistance < 1 Ω.
(ii) Equivalent resistance < 1 Ω.
Question 2
An electric lamp of 100 Ω, a toaster of resistance 50 Ω, and a water filter of resistance 500 Ω are connected in parallel to a 220 V source. What is the resistance of an electric iron connected to the same source that takes as much current as all three appliances, and what is the current through it ?
Solution:
Resistance of electric lamp, R1 = 100 Ω
Resistance of toaster, R2 = 50 Ω
Resistance of water filter, R3 = 500 Ω
Equivalent resistance Rp of the three appliances connected in parallel, is

Resistance of electric iron = Equivalent resistance of the three appliances connected in parallel = 31.25 Ω
Applied voltage, V = 220 V
Current, I = VR = 220V31.25Ω
Question 3
What are the advantages of connecting electrical devices in parallel with the battery instead of connecting them in series ?
Answer:
Advantages of connecting electrical devices in parallel with the battery are :
1. In parallel circuits, if an electrical appliance stops working due to some defect, then all other appliances keep working normally.
2. In parallel circuits, each electrical appliance has its own switch due to which it can be turned on turned off independently, without affecting other appliances.
3. In parallel circuits, each electrical appliance gets the same voltage (220 V) as that of the power supply line.
4. In the parallel connection of electrical appliances, the overall resistance of the household circuit is reduced due to which the current from the power supply is high.
Question 4
How can three resistors of resistances 2Ω, 3 Ω, and 6Ω be connected to give a total resistance of (i) 4 Ω, (ii) 1 Ω ?
Solution:
(i) We can get a total resistance of 4Ω by connecting the 2Ω resistance in series with the parallel combination of 3Ω and 6Ω.

(ii) We can obtain a total resistance of 1Ω by connecting resistors of 2 Ω, 3 Ω and 6 Ω in parallel.

Question 5
What is (i) the highest, (ii) the lowest total resistance that can be secured by combinations of four coils of resistance 4 Ω, 8 Ω, 12 Ω, 24 Ω?
Solution:
(i) Highest resistance can be obtained by connecting the four coils in series.
Then, R = 4Ω + 8Ω + 12Ω + 24Ω = 48Ω
(ii) Lowest resistance can be obtained by connecting the four coils in parallel.

Question 1
Why does the cord of an electric heater not glow while the heating element does ?
Solution:
Heat generated in a circuit is given by I2R t. The heating element of an electric heater made of nichrome glows because it becomes red-hot due to the large amount of heat produced on passing current because of its high resistance, but the cord of the electric heater made of copper does not glow because negligible heat is produced in it by passing current because of its extremely low resistance.
Question 2
Compute the heat generated while transferring 96000 coulomb of charge in one hour through a potential difference of 50 V.
Solution:
Here, Q = 96,000 C, t =1 hour = 1 x 60 x 60 sec = 3,600 s, V = 50 V
Heat generated, H = VQ = 50Vx 96,000 C = 48,00,000 J = 4.8 x 106 J
Question 3
An electric iron of resistance 20Ω takes a current of 5 A. Calculate the heat developed in 30 s.
Solution:
Here, R = 20 Ω, i = 5 A, t = 3s
Heat developed, H = I2 R t = 25 x 20 x 30 = 15,000 J = 1.5 x 104 J
Question 1
What determines the rate at which energy is delivered by a current ?
Answer:
Resistance of the circuit determines the rate at which energy is delivered by a current.
Question 2
An electric motor takes 5 A from a 220 V line. Determine the power of the motor and the energy consumed in 2 h.
Answer:
Here, I = 5 A, V = 220 V, t = 2h = 7,200 s
Power, P = V I = 220 x 5 = 1100 W
Energy consumed = P x t = 100 W x 7200 s = 7,20,000 J = 7.2 x 105 J
Question 1
A piece of wire of resistance R is cut into five equal parts. These parts are then connected in parallel. If the equivalent resistance of this combination is R’, then the ratio R/R’ is :
(a) 125
(b) 15
(c) 5
(d) 25
Answer:
(d) 25
Question 2
Which of the following terms does not represent electrical power in a circuit?
(a) I2R
(b) IR2
(c) VI
(d) v22
Answer:
(fa) IR2
Question 3
An electric bulb is rated 220 V and 100 W. When it is operated on 110 V, the power consumed will be :
(a) 100 W
(b) 75 W
(c) 50 W
(d) 25 W
Answer:
(d) 25 W
Question 4
Two conducting wires of the same material and of equal lengths and equal diameters are first connected in series and then parallel in a circuit across the same potential difference. The ratio of heat produced in series and parallel combinations would be :
(a) 1 : 2
(b) 2 : 1
(c) 1 : 4
(d) 4 : 1
Answer:
(c) 1 : 4
Question 5
How is a voltmeter connected in the circuit to measure the potential difference between two points ?
Answer:
A voltmeter is connected in parallel to measure the potential difference between two points.
Question 6
A copper wire has diameter 0.5 mm and resistivity of 1.6 x 10-8 Ω m. What will be the length of this wire to make its resistance 10 Ω ? How much does the resistance change if the diameter is doubled ?
Answer:


If a wire of diameter doubled to it is taken, then area of cross-section becomes four times.
New resistance = 102 = 2.5 Ω, Thus the new resistance will be 14 times.
Decrease in resistance = (10 – 2.5) Ω = 7.5 Ω
Question 7
The values of current I flowing in a given resistor for the corresponding values of potential difference V across the resistor are given below :

Plot a graph between V and I and calculate the resistance of the resistor.
Solution:
The graph between V and I for the above data is given below.
The slope of the graph will give the value of resistance.
Let us consider two points P and Q on the graph.
and from P along Y-axis, which meet at point R.
Now, QR = 10.2V – 34V = 6.8V
And PR = 3 – 1 = 2 ampere


Thus, resistance, R = 3.4 Ω
Question 8
When a 12 V battery is connected across an unknown resistor, there is a current of 2.5 mA in the circuit. Find the value of the resistance of the resistor.
Solution:
Here, V = 12 V and I = 2.5 mA = 2.5 x 10-3 A
∴ Resistance, R = VI = 12V2.5×103A = 4,800 Ω = 4.8 x 10-3 Ω
Question 9
A battery of 9V is connected in series with resistors of 0.2 O, 0.3 O, 0.4 Q, 0.5 Q and 12 £1, respectively. How much current would flow through the 12 Q resistor?
Solution:
Total resistance, R = 0.2 Ω + 0.3 Ω + 0.4 Ω + 0.5 Ω + 12 Ω – 13.4 Ω
Potential difference, V = 9 V
Current through the series circuit, I = VR = 12V13.4Ω = 0.67 A
∵ There is no division of current in series. Therefore current through 12 Ω resistor = 0.67 A.
Question 10
How many 176 Ω resistors (in parallel) are required to carry 5 A on a 220 V line?
Solution:
Suppose n resistors of 176 Ω are connected in parallel.

Thus 4 resistors are needed to be connect.
Question 11
Show how you would connect three resistors, each of resistance 6 Ω, so that the combination has a resistance of (i) 9 Ω, (ii) 4Ω
Solution:
Here, R1 = R2 = R3 = 6 Ω.
(i) When we connect R1 in series with the parallel combination of R2 and R3 as shown in Fig. (a).
The equivalent resistance is


(ii) When we connect a series combination of R1 and R2 in parallel with R3, as shown in Fig. (b), the equivalent resistance is

Question 12
Several electric bulbs designed to be used on a 220 V electric supply line, are rated 10 W. How many lamps can be connected in parallel with each other across the two wires of 220 V line if the maximum allowable current is 5 A ?
Solution:
Here, current, I = 5 A, voltage, V = 220 V
∴ Maxium power, P = I x V = 5 x 220 = 1100W
Required no. of lamps =Max.PowerPowerof1lamp=110010=110
∴ 110 lamps can be connected in parallel.
Question 13
A hot plate of an electric oven connected to a 220 V line has two resistance coils A and B, each of 24 Ω resistance, which may be used separately, in series, or in parallel. What are the currents in the three cases ?
Solution:
(i) When the two coils A and B are used separately. R = 24 Ω, V = 220 V
![]()
(ii) When the two coils are connected in series,

(iii) When the two coils are connected in parallel.

Question 14
Compare the power used in the 2 Ω resistor in each of the following circuits
(i) a 6 V battery in series with 1 Ω and 2 Ω resistors, and
(ii) a 4 V battery in parallel with 12 Ω and 2 Ω resistors.
Solution:
(i) The circuit diagram is shown in figure.
Total resistance, R = 1Ω + 2Ω = 3Ω
Potential difference, V = 6 V

Power used in 2Ω resistor = I2R = (2)2 x 2 = 8 W
(ii) The circuit diagram for this case is shown :
Power used in 2 resistor = v2R =422 = 8 W.

[ ∵ Current is different for different resistors in parallel combination.]
Question 15
Two lamps, one rated 100 W at 220 V, and the other 60 W at 220 V, are connected in parallel to electric mains supply. What current is drawn from the line if the supply voltage is 220 V ? [CBSE 2018]
Solution:
Power of first lamp (P1) = 100 W
Potential difference (V) = 220 V

Question 16
Which uses more energy, a 250 W TV set in 1 hr, or a 1200 W toaster in 10 minutes ?
Solution:
Energy used by 250 W TV set in 1 hour = 250 W x 1 h = 250 Wh
Energy used by 1200 W toaster in 10 minutes = 1200 W x 10 min
= 1200 x 1060 = 200 Wh 60
Thus, the TV set uses more energy than the toaster.
Question 17
An electric heater of resistance 8 Ω draws 15 A from the service mains 2 hours. Calculate the rate at which heat is developed in the heater.
Solution:
Here, R = 8 Ω, 1 = 15 A, t = 2 h
The rate at which heat is developed in the heater is equal to the power.
Therefore, P = I2 R = (15)2 x 8 = 1800 Js-1
Question 18
Explain the following:
(i) Why is tungsten used almost exclusively for filament of electric lamps ?
(ii) Why are the conductors of electric heating devices, such as bread-toasters and electric irons, made of an alloy rather than a pure metal ?
(in) Why is the series arrangement not used for domestic circuits ?
(iv) How does the resistance of a wire vary with its area of cross-section ?
(v) Why are copper and aluminium wires usually employed for electricity transmission?
Answer:
(i) The tungsten is used almost exclusively for filament of electric lamps because it has a very high melting point (3300°C). On passing electricity through tungsten filament, its temperature reaches to 2700°C and it gives heat and light energy without being melted.
(ii) The conductors of electric heating devices such as bread-toasters and electric irons, are made of an alloy rather than a pure metal because the resistivity of an alloy is much higher than that of pure metal and an alloy does not undergo oxidation (or burn) easily even at high temperature.
(iii) The series arrangement is not used for domestic circuits because in series circuit, if one electrical appliance stops working due to some defect, than all other appliances also stop working because the whole circuit is broken.
(iv) The resistance of a wire is inversely proportional to its area of cross-section, i.e., Resistance R ∝ (1/πr2). If the area of cross section of a conductor of fixed length is increased, then resistance decreases because there are more free electrons for movement in conductor.
(v) Copper and aluminium wires usually employed for electricity transmission because they have very low resistances. So, they do not become too hot on passing electric current.
Question 1:
Name a device that helps to maintain a potential difference across a conductor.
Answer:
Cell or battery eliminator.
Question 2:
What is meant by saying that the potential difference between two points is 1 V?
Answer:
As we know that V = W / q
Thus, the potential difference between two points is one volt when one joule of work is done to carry a charge of one coulomb between the two points in the electric field.
Question 3:
How much energy is given to one coulomb of charge passing through a 6 V battery
Answer:

Question 1:
On what factors does the resistance of a conductor depend
Answer:
Resistance of a conductor depends upon:
(i) Resistivity of the material.
(ii) Length of the conductor.
(iii) Cross-sectional area of the conductor.
Question 2:
Will current flow more easily through a thick wire or thin wire of the same material when connected to the same source? Why
Answer:
The current flows more easily through a thick wire than through a thin wire because the resistance of thick wire is less than that of a thin wire as R ∝ 1/A.
Question 3:
Let the resistance of an electrical component remains constant while the potential difference across the two ends of the component decreases to half of its former value. What change will occur in the current through it?
Answer:

Hence, the current through an electrical component also becomes half of its previous value.
Question 4:
Why are the coils of electric toasters and electric irons made of an alloy rather than a pure metal
Answer:
The coils of electric toaster and electric iron are made of an alloy rather than a pure metal because of the following reasons;
(i) The resistivity of an alloy is higher than that of a pure metal.
(ii) It has high melting point and does not oxidise.
Question 5:
Use the data in Table 12.2 of NCERT book to answer the following:
(a) Which among iron and mercury is a better conductor?
(b) Which material is the best conductor? ‘
Answer:
(a) Iron because its resistivity is less than mercury.
(b) Silver is the best conductor as it has least resistivity.
Question 1:
Draw a schematic diagram of a circuit consisting of a battery of three cells of 2 V each, a 5 Ω resistor, a 8 Ω resistor and a 12 Ω resistor and a plug key, all connected in series.
Answer:

Question 2:
Redraw the circuit of the above question, putting in an ammeter to measure the current through the resistors and a voltmeter to measure the voltage across the 12 resistor. What would be the reading in the ammeter and the voltmeter?
Answer:

Total resistance of the circuit = R
Since all the three resistors are connected in series, so, the equivalent resistance R is equal to the sum of all resistance.
R = 5 Ω + 8 Ω + 12 Ω = 25 Ω

Question 1:
Judge the equivalent resistance when the following are connected in parallel.
(a) 1 Ω and 106 Ω
(b) 1 Ω , 103 Ω and 106 Ω
Answer:
Equivalent resistance in parallel combination of resistors is always less than the least resistance of any resistor in the circuit.
Hence, in both the given cases, the equivalent resistance is less than 1 Ω.
Question 2:
An electric lamp of 100 Ω, a toaster of resistance 50 Ω and a water filter of resistance 500 Ω are connected in parallel to a 220 V source. What is the resistance of an electric iron connected to the same source that takes as much current as all three appliances and what is the current flows through it?
Answer:

Question 3:
What are the advantages of connecting electrical devices in parallel with the battery instead of connecting them in series ?
Answer:
Advantages of connecting electrical devices in parallel:
1. When the appliances are connected in parallel with the battery, each appliance gets the same potential difference as that-of battery which is not possible in series connection.
2. Each appliance has different resistances and requires different currents to operate properly. This is possible only in parallel connection, as in series connection, same current flows through all devices, irrespective of their resistances.
3. If one appliance fails to work, other will continue to work properly.
Question 4:
How can three resistors of resistances 2 Ω, 3 Ω and 6 Ω be connected to give a total resistance of (a) 4 Ω (b) 1 Ω?
Answer:
(a) In order to get 4 Ω, resistance 2 Ω should be connected in series with the parallel combination of 3 Ω and 6 Ω.

Question 5:
What is (a) the highest (b) the lowest total resistance that can be secured by combination of four coils of resistances 4 Ω, 8 Ω, 12 Ω, 24 Ω?
Answer:
(a) The highest resistance is secured by combining all four coils of resistance in series.
Rs = 4 Ω+ 8 Ω + 12 Ω + 24 Ω = 48 Ω
(b) The lowest resistance is secured by combining all four coils of resistance in parallel.

Question 1:
Why does the cord of an electric heater not glow while the heating element does?
Answer:
The cord of an electric heater is made up of metallic wire such as copper or aluminum which has low resistance while the heating element is made up of an alloy which has more resistance than its constituent metals. Also heat produced ‘H’ is
H = I2Rt
Thus, for the same current H oc R, so for more resistance, more heat is produced by heating element and it glows.
Question 2:
Compute the heat generated while transferring 96000 C of charge in one hour through a potential difference of 50 V.
Answer:

Question 3:
An electric iron of resistance 20 Q takes a current of 5 A. Calculate the heat developed in 30 s.
Answer:
Given R = 20 Ω, I = 5 A, t = 30 s
H = I2Rt = (5)2 x 20 x 30 = 15000 J = 1.5 x 104 J
Question 1:
What determines the rate at which energy is delivered by a current?
Answer:
Electric power determines the rate at which energy is delivered by a current.
Question 2:
An electric motor takes 5 A from a 220 V line. Determine the power of the motor and the energy consumed in 2 h.
Answer:
Given I = 5 A, V = 220 V, t = 2 h Power,
p = VI = 220 x 5 = 1100 W
Energy consumed = Vlt = Pt
= 1100 x 2 = 2200 Wh
Question 1:
A piece of wire of resistance R is cut into five equal parts. These parts are then connected in parallel. If the equivalent resistance of this combination is R’, then the ratio R/R’ is

Answer:

Question 2:
Which of the following terms does not represent electrical power in a circuit?
(a) I2R
(b) IR2
(c) VI
(d) V2/R
Answer:
(b) P = V2/R = I2R = VI Option (b) does not represent electrical power.
Question 3:
An electric bulb is rated 220 V and 100 W. When it is operated on 110 V, the power consumed will be
(a) 100 W
(b) 75 W
(c) 50 W
(d) 25 W
Answer:

Question 4:
Two conducting wires of same material and of equal lengths and diameters are first connected in series and then parallel in a circuit across the same potential difference. The ratio of heat produced in series and parallel combinations would be
(a) 1:2
(b) 2:1
(c) 1:4
(d) 4:1
Answer:

Question 5:
How is a voltmeter connected in the circuit to measure the potential difference between two points?
Answer:
A voltmeter is connected in parallel across any two points in a circuit to measure the potential difference between them with its +ve terminal to the point at higher potential and -ve terminal to the point at lower potential of the source.
Question 6:
A copper wire has a diameter 0.5 mm and resistivity of 1.6 X 10-8 Ωm. What will be the length of this wire to make its resistance 10 Ω? How much does the resistance change if the diameter is doubled?
Answer:


Question 7:
The values of the current I flowing in a given resistor for the corresponding values of potential difference V across the resistor are given below:

Plot a graph between V and I and calculate the resistance of that resistor.
Answer:

Question 8:
When a 12 V battery is connected across an unknown resistor, there is a current of 2.5 mA in the circuit. Find the value of the resistance of the resistor.
Answer:

Question 9:
A battery of 9 V is connected in series with resistors of 0.2 Ω, 0.3 Ω, 0.4 Ω, 0.5 Ω and 12 Ω, respectively. How much currentwould flow through the 12 Ω resistor?
Answer:
Since all the resistors are in series, the same current, 0.67 A flows through the 12 Ω resistor.

Question 10:
How many 176 Ω resistors (in parallel) are required to carry 5 A on a 220 V line?
Answer:

Question 11:
Show how you would connect three resistors, each of resistance 6 Ω , so that the combination has a resistance of (i) 9 Ω , (it) 4 Ω .
Answer:
(i) When two 6 Ω resistances are in parallel and the third is in combination to this, the equivalent resistance will be 9 Ω.

(ii) When two 6 Ω resistances are in series and the third is in parallel to them, then it will be 4 Ω.

Question 12:
Several electric bulbs designed to be used on a 220 V electric supply line, are rated 10 W. How many lamps can be connected in parallel with each other across the two wires of 220 V line if the maximum allowable current is 5 A?
Solution:
Here, current, I = 5 A, voltage, V = 220 V
∴ Maxium power, P = I x V = 5 x 220 = 1100W
Required no. of lamps =Max.PowerPowerof1lamp=110010=110
∴ 110 lamps can be connected in parallel.
Question 13
A hot plate of an electric oven connected to a 220 V line has two resistance coils A and B, each of 24 Ω resistance, which may be used separately, in series, or in parallel. What are the currents in the three cases ?
Solution:
(i) When the two coils A and B are used separately. R = 24 Ω, V = 220 V
![]()
(ii) When the two coils are connected in series,

(iii) When the two coils are connected in parallel.

Question 14
Compare the power used in the 2 Ω resistor in each of the following circuits
(i) a 6 V battery in series with 1 Ω and 2 Ω resistors, and
(ii) a 4 V battery in parallel with 12 Ω and 2 Ω resistors.
Solution:
(i) The circuit diagram is shown in figure.
Total resistance, R = 1Ω + 2Ω = 3Ω
Potential difference, V = 6 V

Power used in 2Ω resistor = I2R = (2)2 x 2 = 8 W
(ii) The circuit diagram for this case is shown :
Power used in 2 resistor = v2R =422 = 8 W.

[ ∵ Current is different for different resistors in parallel combination.]
Question 15
Two lamps, one rated 100 W at 220 V, and the other 60 W at 220 V, are connected in parallel to electric mains supply. What current is drawn from the line if the supply voltage is 220 V ?
Solution:
Power of first lamp (P1) = 100 W
Potential difference (V) = 220 V

Question 16:
Which uses more energy, a 250 W TV set in 1 hr, or a 1200 W toaster in 10 minutes?
Answer:
Energy consumed by 250 W TV set in 1 h = 250 x 1 = 250 Wh.
Energy consumed by 1200 W toaster in 10 min = 1200 X 1/6 = 200 Wh.
∴ Energy consumed by TV set is more than the energy consumed by toaster in the given timings.
Question 17:
An electric heater of resistance 8 f2 draws 15 A from the service mains 2 hours. Calculate the rate at which heat is developed in the heater.
Answer:

Question 18:
Explain the following.
(a) Why is the tungsten used almost exclusively for filament of electric lamps?
(b) Why are the conductors of electric heating devices, such as bread-toasters and electric irons, made of an alloy rather than a pure metal?
(c) Why is the series arrangement not used for domestic circuits?
(d) How does the resistance of a wire vary with its area of cross-section?
(e) Why are copper and aluminum wires usually employed for electricity transmission?
Answer:
(a) It has high melting point and emits light at a high temperature.
(b) It has more resistivity and less temperature coefficient of resistance.
(c) (i) All appliances do not get same potential in series arrangement.
(ii) All appliances cannot be individually operated.
(d) R ∝ =1 / Area of cross – section.
(e) They are very good conductors of electricity.
Question 1:
Three 2 Ω resistors, A, B and C are connected as shown in figure. Each of them dissipates energy and can withstand a maximum power of 18 W without melting. Find the maximum current that can flow through the three resistors.
Answer:

Question 2:
Should the resistance of an ammeter be low or high? Give reason.
Answer:
The resistance of an ammeter should be low so that it will not disturb the magnitude of current flowing through the circuit when connected in series in a circuit.
Question 3:
How does use of a fuse wire protect electrical appliances?
Answer:
The fuse wire is always connected in series with the live wire or electrical devices. If the flow of current exceeds the specified preset value due to some reason, the heat produced melts it and disconnects the circuit or the device from the mains. In this way, fuse wire protects the electrical appliances.
Question 4:
What is electrical resistivity? In a series electrical circuit comprising a resistor made up of a metallic wire, the ammeter reads 5 A. The reading of the ammeter decreases to half when the length of the wire is doubled. Why?
Answer:The resistance offered by a metallic wire of unit length and unit cross-sectional area is called electrical resistivity.

Hence, when the length of wire is doubled, the resistance becomes double and current decreases to half.
Question 5:
A current of 1 ampere flows in a series circuit containing an electric lamp and a conductor of 5 Ω when connected to a 10 V battery. Calculate the resistance of the electric lamp.
Now if a resistance of 10 Ω is connected in parallel with this series combination, what change (if any) in current flowing through 5 Ω conductor and potential difference across the lamp will take place? Give reason.
Answer:

Question 6:
Why is parallel arrangement used in domestic wiring?
Answer:
Parallel arrangement is used in domestic wiring because
(i) Each appliance gets the same voltage as that of the mains supply.
(ii) If one component is switched off, others can work properly.
(iii) Fault in any branch of the circuit can be easily identified.

Question 7:
B1, B2 and B3 are three identical bulbs connected as shown in figure. When all the three bulbs glow, a current of 3A is recorded by the ammeter A.

(i) What happens to the glow of the other two bulbs when the bulb B j gets fused?
(ii) What happens to the reading of A1 ,A2 , A3 and A when the bulb B2 gets fused?
(iii) How much power is dissipated in the circuit when all the three bulbs glow together?
Answer:
(i) Since B1 ,B2 and B3 are in parallel, the potential difference across each of them will remain same. So when the bulb B1 gets fused, B2 and B3 have the same potential and continues with the same energy dissipated per second, i.e. they will glow continuously as they were glowing before.


Question 1:
Three incandescent bulbs of 100 W each are connected in series in an electric circuit. In another circuit, another set of three bulbs of the same wattage are connected in parallel to the same source.
(а) Will the bulb in the two circuits glow with the same brightness? Justify your answer.
(b) Now let one bulb in both the circuits get fused. Will the rest of the bulbs continue to glow in each circuit? Give reason.
Answer:

(a) The bulbs in the two circuits will not glow equally bright as the current through them is not the same.

(b) As one bulb fuses, the other bulbs in the series circuit will not glow because the circuit becomes an open circuit. While the rest of bulbs in parallel circuit will continue to glow without getting disturbed because in parallel combination, current gets additional paths to flow.
Question 2:
Find out the following in the electric circuit given in figure:










