1. Find the distance between the following pairs of points:
(i) (2, 3), (4, 1)
(ii) (-5, 7), (-1, 3)
(iii) (a, b), (- a, – b)
Solution:
Distance formula to find the distance between two points (x1, y1) and (x2, y2) is, say d,

2. Find the distance between the points (0, 0) and (36, 15). Can you now find the distance between the two towns A and B discussed in Section 7.2.
Solution:
Let us consider, town A at point (0, 0). Therefore, town B will be at point (36, 15).
Distance between points (0, 0) and (36, 15)

In section 7.2, A is (4, 0) and B is (6, 0)
AB2 = (6 – 4)2 – (0 – 0)2 = 4
The distance between town A and B will be 39 km. The distance between the two towns A and B discussed in Section 7.2 is 4 km.
3. Determine if the points (1, 5), (2, 3) and (-2, -11) are collinear.
Solution: The sum of the lengths of any two line segments is equal to the length of the third line segment then all three points are collinear.
Consider, A = (1, 5) B = (2, 3) and C = (-2, -11)
Find the distance between points; say AB, BC and CA

Since AB + BC ≠ CA
Therefore, the points (1, 5), (2, 3), and ( – 2, – 11) are not collinear.
4. Check whether (5, – 2), (6, 4) and (7, – 2) are the vertices of an isosceles triangle.
Solution:
Since two sides of any isosceles triangle are equal. To check whether given points are vertices of an isosceles triangle, we will find the distance between all the points.
Let the points (5, – 2), (6, 4), and (7, – 2) are representing the vertices A, B, and C respectively.

This implies, whether given points are vertices of an isosceles triangle.
5. In a classroom, 4 friends are seated at the points A, B, C and D as shown in Fig. 7.8. Champa and Chameli walk into the class and after observing for a few minutes Champa asks Chameli, “Don’t you think ABCD is a square?” Chameli disagrees. Using distance formula, find which of them is correct.

Solution:
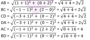
From figure, the coordinates of points A, B, C and D are (3, 4), (6, 7), (9, 4) and (6,1).
Find distance between points using distance formula, we get

All sides are of equal length. Therefore, ABCD is a square and hence, Champa was correct.
6. Name the type of quadrilateral formed, if any, by the following points, and give reasons for your answer:
(i) (- 1, – 2), (1, 0), (- 1, 2), (- 3, 0)
(ii) (- 3, 5), (3, 1), (0, 3), (- 1, – 4)
(iii) (4, 5), (7, 6), (4, 3), (1, 2)
Solution:
(i) Let the points (- 1, – 2), (1, 0), ( – 1, 2), and ( – 3, 0) be representing the vertices A, B, C, and D of the given quadrilateral respectively.

Side length = AB = BC = CD = DA = 2√2
Diagonal Measure = AC = BD = 4
Therefore, the given points are the vertices of a square.
(ii) Let the points (- 3, 5), (3, 1), (0, 3), and ( – 1, – 4) be representing the vertices A, B, C, and D of the given quadrilateral respectively.
(iii) Let the points (4, 5), (7, 6), (4, 3), and (1, 2) be representing the vertices A, B, C, and D of the given quadrilateral respectively.

Opposite sides of this quadrilateral are of the same length. However, the diagonals are of different lengths. Therefore, the given points are the vertices of a parallelogram.
7. Find the point on the x-axis which is equidistant from (2, – 5) and (- 2, 9).
Solution:
To find a point on x-axis. Therefore, its y-coordinate will be 0. Let the point on x-axis be (x,0).
Consider A = (x, 0); B = (2, – 5) and C = (- 2, 9).

Simplify the above equation,
Remove square root by taking square both the sides, we get
(2 – x)2 + 25 = [-(2 + x)]2 + 81
(2 – x)2 + 25 = (2 + x)2 + 81
x2 + 4 – 4x + 25 = x2 + 4 + 4x + 81
8x = 25 – 81 = -56
x = -7
Therefore, the point is (- 7, 0).

Its also seen that points A, B and C are collinear.
So, the given points can only form 3 sides i.e, a triangle and not a quadrilateral which has 4 sides.
Therefore, the given points cannot form a general quadrilateral.
8. Find the values of y for which the distance between the points P (2, – 3) and Q (10, y) is 10 units.
Solution:
Given: Distance between (2, – 3) and (10, y) is 10.
Using distance formula,

Simplify the above equation and find the value of y.
Squaring both sides,
64 + (y + 3)2 = 100
(y + 3)2 = 36
y + 3 = ±6
y + 3 = +6 or y + 3 = −6
y = 6 – 3 = 3 or y = – 6 – 3 = -9
Therefore, y = 3 or -9.
9. If Q (0, 1) is equidistant from P (5, – 3) and R (x, 6), find the values of x. Also find the distance QR and PR.
Solution:
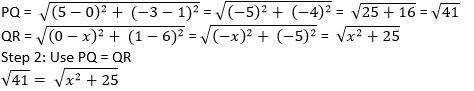
Given: Q (0, 1) is equidistant from P (5, – 3) and R (x, 6), which means PQ = QR
Step 1: Find the distance between PQ and QR using distance formula,

Squaring both the sides, to omit square root
41 = x2 + 25
x2 = 16
x = ± 4
x = 4 or x = -4
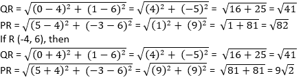
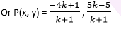
Coordinates of Point R will be R (4, 6) or R (-4, 6),
If R (4, 6), then QR

10. Find a relation between x and y such that the point (x, y) is equidistant from the point (3, 6) and (- 3, 4).
Solution:
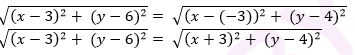
Point (x, y) is equidistant from (3, 6) and ( – 3, 4).

Squaring both sides, (x – 3)2+(y – 6)2 = (x + 3)2 +(y – 4)2
x2 + 9 – 6x + y2+ 36 – 12y = x2 + 9 + 6x + y2 +16 – 8y
36 – 16 = 6x + 6x + 12y – 8y
20 = 12x + 4y
3x + y = 5
3x + y – 5 = 0
Exercise 7.2
1. Find the coordinates of the point which divides the join of (- 1, 7) and (4, – 3) in the ratio 2:3.
Solution:
Let P(x, y) be the required point. Using the section formula, we get
x = (2×4 + 3×(-1))/(2 + 3) = (8 – 3)/5 = 1
y = (2×-3 + 3×7)/(2 + 3) = (-6 + 21)/5 = 3
Therefore, the point is (1, 3).
2. Find the coordinates of the points of trisection of the line segment joining (4, -1) and (-2, -3).
Solution:

Let P (x1, y1) and Q (x2, y2) are the points of trisection of the line segment joining the given points i.e., AP = PQ = QB
Therefore, point P divides AB internally in the ratio 1:2.
x1 = (1×(-2) + 2×4)/3 = (-2 + 8)/3 = 6/3 = 2
y1 = (1×(-3) + 2×(-1))/(1 + 2) = (-3 – 2)/3 = -5/3
Therefore: P (x1, y1) = P(2, -5/3)
Point Q divides AB internally in the ratio 2:1.
x2 = (2×(-2) + 1×4)/(2 + 1) = (-4 + 4)/3 = 0
y2 = (2×(-3) + 1×(-1))/(2 + 1) = (-6 – 1)/3 = -7/3
The coordinates of the point Q is (0, -7/3)
3. To conduct Sports Day activities, in your rectangular shaped school ground ABCD, lines have been drawn with chalk powder at a distance of 1 m each. 100 flower pots have been placed at a distance of 1 m from each other along AD, as shown in the following figure. Niharika runs 1/4 th the distance AD on the 2nd line and posts a green flag. Preet runs 1/5th the distance AD on the eighth line and posts a red flag. What is the distance between both the flags? If Rashmi has to post a blue flag exactly halfway between the line segment joining the two flags, where should she post her flag?

Solution:
From the given instruction, we observed that Niharika posted the green flag at 1/4th of the distance AD i.e., (1/4 ×100) m = 25 m from the starting point of 2nd line. Therefore, the coordinates of this point are (2, 25).
Similarly, Preet posted red flag at 1/5 of the distance AD i.e., (1/5 ×100) m = 20m from the starting point of 8th line. Therefore, the coordinates of this point are (8, 20).
Distance between these flags can be calculated by using distance formula,

The point at which Rashmi should post her blue flag is the mid-point of the line joining these points. Let say this point be P(x, y).
x = (2 + 8)/2 = 10/2 = 5 and y = (20 + 25)/2 = 45/2
Hence, P( x, y) = (5, 45/2)
Therefore, Rashmi should post her blue flag at 45/2 = 22.5m on 5th line.
4. Find the ratio in which the line segment joining the points (-3, 10) and (6, – 8) is divided by (-1, 6).
Solution:
Consider the ratio in which the line segment joining ( -3, 10) and (6, -8) is divided by point ( -1, 6) be k :1.
Therefore, -1 = ( 6k-3)/(k+1)
–k – 1 = 6k -3
7k = 2
k = 2/7
Therefore, the required ratio is 2: 7.
5. Find the ratio in which the line segment joining A (1, – 5) and B (- 4, 5) is divided by the x-axis. Also find the coordinates of the point of division.
Solution:
Let the ratio in which the line segment joining A (1, – 5) and B ( – 4, 5) is divided by x-axis be k : 1. Therefore, the coordinates of the point of division, say P(x, y) is ((-4k+1)/(k+1), (5k-5)/(k+1)).

We know that y-coordinate of any point on x-axis is 0.
Therefore, ( 5k – 5)/(k + 1) = 0
5k = 5
or k = 1
So, x-axis divides the line segment in the ratio 1:1.
Now, find the coordinates of the point of division:
P (x, y) = ((-4(1)+1)/(1+1) , (5(1)-5)/(1+1)) = (-3/2 , 0)
6. If (1, 2), (4, y), (x, 6) and (3, 5) are the vertices of a parallelogram taken in order, find x and y.
Solution:
Let A,B,C and D be the points of a parallelogram : A(1, 2), B(4, y), C(x, 6) and D(3, 5).

Since the diagonals of a parallelogram bisect each other, the midpoint is same.
To find the value of x and y, solve for midpoint first.
Midpoint of AC = ( (1+x)/2 , (2+6)/2 ) = ((1+x)/2 , 4)
Midpoint of BD = ((4+3)/2 , (5+y)/2 ) = (7/2 , (5+y)/2)
Midpoint of AC and BD are same, this implies
(1+x)/2 = 7/2 and 4 = (5+y)/2
x + 1 = 7 and 5 + y = 8
x = 6 and y = 3
7. Find the coordinates of a point A, where AB is the diameter of circle whose centre is (2, – 3) and B is (1, 4).
Solution:
Let the coordinates of point A be (x, y).
Mid-point of AB is (2, – 3), which is the centre of the circle.
Coordinate of B = (1, 4)
(2, -3) =((x+1)/2 , (y+4)/2)
(x+1)/2 = 2 and (y+4)/2 = -3
x + 1 = 4 and y + 4 = -6
x = 3 and y = -10
The coordinates of A(3,-10).
8. If A and B are (-2, -2) and (2, -4), respectively, find the coordinates of P such that AP = 3/7 AB and P lies on the line segment AB.
Solution:

The coordinates of point A and B are (-2,-2) and (2,-4) respectively. Since AP = 3/7 AB
Therefore, AP: PB = 3:4
Point P divides the line segment AB in the ratio 3:4.

9. Find the coordinates of the points which divide the line segment joining A (- 2, 2) and B (2, 8) into four equal parts.
Solution:
Draw a figure, line dividing by 4 points.

From the figure, it can be observed that points X, Y, Z are dividing the line segment in a ratio 1:3, 1:1, 3:1 respectively.

10. Find the area of a rhombus if its vertices are (3, 0), (4, 5), (-1, 4) and (-2,-1) taken in order.
[Hint: Area of a rhombus = 1/2 (product of its diagonals)
Solution:
Let A(3, 0), B (4, 5), C( – 1, 4) and D ( – 2, – 1) are the vertices of a rhombus ABCD.


Exercise 7.3
1. Find the area of the triangle whose vertices are:
(i) (2, 3), (-1, 0), (2, -4)
(ii) (-5, -1), (3, -5), (5, 2)
Solution:
Area of a triangle formula = 1/2 × [x1(y2 – y3) + x2(y3 – y1) + x3(y1 – y2)]
(i) Here,
x1 = 2, x2 = -1, x3 = 2, y1 = 3, y2 = 0 and y3 = -4
Substitute all the values in the above formula, we get
Area of triangle = 1/2 [2 {0- (-4)} + (-1) {(-4) – (3)} + 2 (3 – 0)]
= 1/2 {8 + 7 + 6}
= 21/2
So, area of triangle is 21/2 square units.
(ii) Here,
x1 = -5, x2 = 3, x3 = 5, y1 = -1, y2 = -5 and y3 = 2
Area of the triangle = 1/2 [-5 { (-5)- (2)} + 3(2-(-1)) + 5{-1 – (-5)}]
= 1/2{35 + 9 + 20} = 32
Therefore, the area of the triangle is 32 square units.
2. In each of the following find the value of ‘k’, for which the points are collinear.
(i) (7, -2), (5, 1), (3, -k)
(ii) (8, 1), (k, -4), (2, -5)
Solution:
(i) For collinear points, area of triangle formed by them is always zero.
Let points (7, -2) (5, 1), and (3, k) are vertices of a triangle.
Area of triangle = 1/2 [7 { 1- k} + 5(k-(-2)) + 3{(-2) – 1}] = 0
7 – 7k + 5k +10 -9 = 0
-2k + 8 = 0
k = 4
(ii) For collinear points, area of triangle formed by them is zero.
Therefore, for points (8, 1), (k, – 4), and (2, – 5), area = 0
1/2 [8 { -4- (-5)} + k{(-5)-(1)} + 2{1 -(-4)}] = 0
8 – 6k + 10 = 0
6k = 18
k = 3
3. Find the area of the triangle formed by joining the mid-points of the sides of the triangle whose vertices are (0, -1), (2, 1) and (0, 3). Find the ratio of this area to the area of the given triangle.
Solution:
Let the vertices of the triangle be A (0, -1), B (2, 1), C (0, 3).
Let D, E, F be the mid-points of the sides of this triangle.
Coordinates of D, E, and F are given by
D = (0+2/2, -1+1/2 ) = (1, 0)
E = ( 0+0/2, -1+3/2 ) = (0, 1)
F = ( 0+2/2, 3+1/2 ) = (1, 2)

Area of a triangle = 1/2 × [x1(y2 – y3) + x2(y3 – y1) + x3(y1 – y2)]
Area of ΔDEF = 1/2 {1(2-1) + 1(1-0) + 0(0-2)} = 1/2 (1+1) = 1
Area of ΔDEF is 1 square units
Area of ΔABC = 1/2 [0(1-3) + 2{3-(-1)} + 0(-1-1)] = 1/2 {8} = 4
Area of ΔABC is 4 square units
Therefore, the required ratio is 1:4.
4. Find the area of the quadrilateral whose vertices, taken in order, are
(-4, -2), (-3, -5), (3, -2) and (2, 3).
Solution:
Let the vertices of the quadrilateral be A (- 4, – 2), B ( – 3, – 5), C (3, – 2), and D (2, 3).
Join AC and divide the quadrilateral into two triangles.

We have two triangles ΔABC and ΔACD.
Area of a triangle = 1/2 × [x1(y2 – y3) + x2(y3 – y1) + x3(y1 – y2)]
Area of ΔABC = 1/2 [(-4) {(-5) – (-2)} + (-3) {(-2) – (-2)} + 3 {(-2) – (-5)}]
= 1/2 (12 + 0 + 9)
= 21/2 square units
Area of ΔACD = 1/2 [(-4) {(-2) – (3)} + 3{(3) – (-2)} + 2 {(-2) – (-2)}]
= 1/2 (20 + 15 + 0)
= 35/2 square units
Area of quadrilateral ABCD = Area of ΔABC + Area of ΔACD
= (21/2 + 35/2) square units = 28 square units
5. You have studied in Class IX that a median of a triangle divides it into two triangles of equal areas. Verify this result for ΔABC whose vertices are A (4, – 6), B (3, – 2) and C (5, 2).
Solution:
Let the vertices of the triangle be A (4, -6), B (3, -2), and C (5, 2).









