Chapter 11 – Alcohols Phenols and Ether Questions and Answers: NCERT Alcohols Phenols and Ether for Class 12 Chemistry

CBSE 10th Date sheet 2024      CBSE 12th Date Sheet 2024

Class 12 Chemistry chapter 11 - Alcohols Phenols and Ether - Questions and Answers of NCERT Book Solutions.



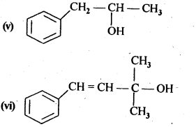
11.1. Classify the following as primary, secondary and tertiary alcohols.




Ans: Primary alcohols: (i), (ii), (iii)
Secondary alcohols: (iv), (v)
Tertiary alcohols: (vi)




11.2. Identify aliylic alcohols in the above examples.



Ans: (ii) and (iv) i.e. H2C=CH – CH2OH and




11.3. Name the following compounds according to IUPAC system.



Ans:




11.4. Show how are the following alcohols prepared by the reaction of a suitable Grignard reagent on methanal ?



Ans:




11.5. Write structures of the products of the following reactions:



Ans:




11.6. Give structures of the products you would expect when each of the following alcohol reacts with (a)HCl-ZnCl2 (b)HBrand (c) SOCl2
(i)Butan-1-ol>
(ii)2-Methylbutan-2-ol



Ans:




11.7. Predict the major product of acid catalysed dehydration of
(i) 1-nicthylcyclohcxanoland
(ii) butan-1-ol



Ans:




11.8. Ortho and para nitrophenols are more acidic than phenol. Draw the resonance structures of the corresponding phenoxide ions.



Ans:The resonance structures of o-and p- nitrophenoxide ions and phenoxide ion are given below:




11.9; Write the equations involved in the following reactions:
(i) Reimer-Tiemann reaction
(ii) Kolbe’s reaction



Ans: (i) Reimer-Tiemann reaction




11.10. Write the reactions of Williamson synthesis of 2-ethoxy-3-methylpentane starting from ethanol and 3-methylpentan-2-ol.



Ans: In Williamsons’s synthesis, the alkyl halide should be primary. Thus, the alkyl halide should be derived from ethanol and the alkoxide ion from 3-methylpentan-2-ol. The synthesis is as follows




11.11. Which of the following is an appropriate set of reactants for the preparation of l-methoxy-4- nitrobenzene and why?



Ans:




11.12. Predict the products of the following reactions:>



Ans:






NCERT Book for Class 12 Chemistry
The Solid State
Solutions
Electrochemistry
Chemical Kinetics
Surface Chemistry
General Principles and Processes of Isolation of Elements
The p -Block Elements
The d- and f - Block Elements
Coordination Compounds
Haloalkanes and Haloarenes
Alcohols, Phenols and Ethers
Aldehydes, Ketones and Carboxylic Acids
Amines
Biomolecules
Polymers
Chemistry in Everyday Life


Last Updated on: December 05, 2025